Thèmes : médecine, sciences.
Conférence du mardi 4 novembre 1980.
Le docteur SAINT-PAUL, directeur du Centre départemental de transfusion sanguine et d’immunologie de Versailles, a prononcé, devant plus de 75 personnes, une conférence remarquable sur :
« LES GROUPES SANGUINS, LE RHÉSUS, LES LEUCOCYTAIRES : LA TRANSFUSION DU SANG ET DE SES DÉRIVÉS ».
Conférence alerte, qui prenait souvent l’aspect d’un dialogue avec le public, soutenue par la projection de diapositives de haute qualité, avec un art pédagogique rendait simples les questions complexes, Le public a été vraiment enthousiasmé.
La richesse de l’exposé est telle qu’il est impossible d’en donner un compte rendu sommaire ; il faudrait un fascicule. Ce qui suit n’en relate que l’essentiel.
COMPOSITION DU SANG.
Le sang recueilli dans un flacon et rendu incoagulable se décante lentement : les globules rouges d’abord au fond du récipient, puis les blancs et les plaquettes ; ils sont recouverts par un liquide clair, légèrement ambré, le plasma.
QUANTITÉ TOTALE DU SANG CONTENU DANS LE CORPS.
On ne peut la connaître que par des méthodes indirectes, par exemple en utilisant un isotope du chrome (Cr 51) ; on « marque » de cet isotope les globules d’un petit volume v (1 cm3) de sang dont on mesure la radioactivité et l’on injecte dans l’organisme. Au bout de 10 minutes, on mesure la radioactivité de l’organisme ; on calcule le volume V du sang par une simple règle de trois.
Il y a environ 5 litres 1/2 de sang chez un homme moyen de 65 Kg (le treizième de la masse du corps) qui se décomposent en :
- 3 litres de plasma,
- 2,5 litres de globules rouges.
En marquant les molécules protéiques du plasma par un autre traceur radioactif, par une méthode analogue, on peut déterminer le volume du plasma ; sa trop grande abondance serait signe d’une anémie.
LES GLOBULES ROUGES OU HÉMATIES.
Ils sont en suspension dans le plasma ; ils sont dans les organes hématopoïétiques (moelle rouge osseuse).
Ce sont des cellules qui ont éjecté leur noyau ; en forme de disque biconcave large de 7 millièmes de millimètre, épais de 2 millièmes.
Dans les vaisseaux, ils se disposent en « piles d’assiettes » ; ils sont élastiques et capables ainsi de s’étirer pour passer par des capillaires plus étroits et reprendre ensuite leur forme première,
Le microscope électronique a permis d’étudier leur surface et leur structure ; certains, étoilés, sont dits en « oursin ».
Le globule rouge est une sorte d’éponge dans les mailles de laquelle est fixé le pigment qui lui donne sa couleur : l’hémoglobine, pigment transporteur de l’oxygène.
La constitution chimique de l’hémoglobine est complexe ; il y a d’ailleurs lieu de parler des hémoglobines qui diffèrent entre elles par leur structure ; on en connaîtrait 250 variantes dont certaines sont des anomalies (en particulier, la falciforme, responsable d’une anémie héréditaire qui atteint presque exclusivement la race noire). Toutes renferment du fer qui joue un rôle essentiel dans le transfert de l’oxygène des capillaires pulmonaires aux réseaux capillaires de tous les organes ; l’oxygène libéré à ce niveau est remplacé par du gaz carbonique, déchet des combustions. L’hémoglobine varie d’ailleurs avec les âges. L’insuffisance en fer est cause d’anémie.
NOMBRE ET VIE DES HÉMATIES
Une méthode simple de compter, au microscope optique, le nombre de globules rouges dans 1 millimètre cube de sang ; en moyenne, on en trouve 5 millions, ce qui donne pour la totalité du sang :
5 000 000 x 5 millions = 25 trillions
Un globule rouge vit 120 jours ; l’organisme compense les pertes en produisant chaque jour 250 milliards de globules rouges.
LA VITESSE DE SÉDIMENTATION.
Dans le sang abandonné à lui-même et rendu incoagulable, les globules rouges « descendent » dans le plasma avec une certaine vitesse ; c’est le phénomène de la sédimentation ; on mesure, en millimètres, l’épaisseur de la couche de globules rouges déposés au bout d’un certain temps (par ex. 1h. 2h. 24 heures).
Cette épaisseur, de l’ordre de quelques millimètres au bout d’une heure chez le sujet normal, est très augmentée dans le cas de certaines affections.
Le sang a été rendu incoagulable par addition d’oxalate ou de citrate de sodium qui précipitent le calcium à l’état de sels insolubles.
Voici deux résultats concernant la vitesse de sédimentation, pour deux sujets A et B qui se situent de part et d’autre de la normale ;
Épaisseur de la couche de globules :
| Individu A | Individu B | Normale | |
| Au bout d’une heure | 1 mm | 17 mm | 3 à 10 mm |
| » » de 2 heures | 3 mm | 45 mm | 16 mm |
| » » de 24 heures | 34 mm | 91 mm | 40 à 60 mm |
LES GLOBULES OU LEUCOCYTES.
Les leucocytes sont des éléments incolores de 12 à 20 millièmes de millimètres de diamètre. Ils naissent dans les ganglions lymphatiques et la rate (mononucléaires) et dans la moelle osseuse (polynucléaires).
Leur nombre chez l’homme varie de 4000 à 10000 par millimètre cube de sang.
Leur durée de vie va de 24 à 48 heures pour certains, des dizaines d’années pour d’autres. Chaque seconde 120000 globules blancs sont déversés dans l’organisme.
Ils se déforment en poussant des expansions (pseudopodes) ; ils arrivent ainsi à ramper (1mm à l’heure) – et par un mécanisme analogue à englober des microbes (phagocytose) ; les leucocytes qui ont digéré les microbes constituent le pus. La prolifération folle des leucocytes entraine la leucémie.
Leur classification est assez complexe :
- les polynucléaires (ou granulocytes) ont un seul noyau lobé ce qui donne l’apparence qu’ils ont plusieurs noyaux. Vie courte : 2 à 3 jours. On distingue les neutrophiles, les basophiles, les éosinophiles.
- les mononucléaires.
- les lymphocytes vrais, les plus petits, avec un noyau sphérique relativement gros. Vie longue pour certains. Leur rôle est important : ils sont le support de la fabrication des anticorps ; d’autre part, ils gardent en mémoire la physionomie de ces anticorps. L’antigène introduit est reconnu par les lymphocytes spécifiques de cet antigène (ils en ont la mémoire) ; ils sont alors stimulés et secrètent des anticorps (voir schéma suivant).

Chaque famille de lymphocytes est ainsi spécialisée. Si les lymphocytes restent dans les organes, les anticorps qu’ils secrètent passent dans le sang (immunité humorale).
-
- les monocytes, les plus gros, avec un noyau ovale ou réniforme. Durée de vie : 100 jours.
LES PLAQUETTES.
Sont de petits disques de 2 à 3 de millimètres de diamètre – qui s’agglomèrent entre eux.
Nombre : 200 000 à 400 000 par millimètre cube de sang.
Chaque jour : milliards sont déversés dans la circulation.
Durée de vie : 7 à 8 jours.
Leur agglomération au niveau d’une plaie bouche les « trous » et stoppe ainsi le saignement.
D’autre part, les plaquettes jouent un rôle essentiel dans la coagulation du sang, dans la coagulation du plasma et dans la rétraction du caillot.
LE PLASMA.
Le plasma est le sang privé de ses globules.
Il renferme :
- des protéines avec :
- des facteurs de coagulation, en particulier du fibrinogène (2 à 4 g. par litre de sang),
- des immunoglobulines jouent un rôle capital dans l’immunité contre les invasions microbiennes ; les immunoglobulines (lors de la rougeole par exemple) resteront dans le corps pendant toute sa vie (on ne peut donc contracter la rougeole 2 fois).
Le plasma peut se conserver très longtemps ; on peut le dessécher et lui donner l’apparence de granulés qui se conservent pendant des années.
Il peut servir en particulier pour le traitement des brûlés ou pour des traitements de chocs.
LA COAGULATION DU SANG.
Le sang frais recueilli dans un récipient ne tarde pas à se prendre en une masse consistante rouge : le caillot ; le sang s’est coagulé. Un peu plus tard, le caillot se rétracte et laisse exsuder un liquide jaune ambré = le sérum. Un peu plus tard encore, le caillot se recouvre d’une mince couche blanchâtre, la couenne, formée de globules blancs.

Si on lave le caillot sous un filet d’eau, on entraîne les globules rouges ; il reste une masse blanche, formée de filaments enchevêtrés, filaments de fibrine.
Le sérum est donc du plasma privé des facteurs de coagulation (du fibrinogène).
La coagulation est un phénomène complexe illustré par le schéma (page 6).

Le fibrinogène se condense en une chaîne de longues molécules de fibrine qui forment un réseau (comme un ensemble de de spaghettis) qui emprisonne, dans ses mailles, les globules.
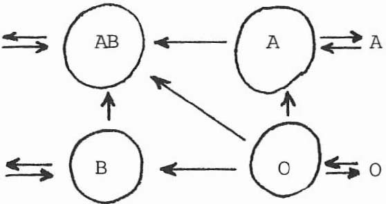
LA TRANSFUSION, LES GROUPES SANGUINS, LE GROUPE ABO
La pratique de la transfusion sanguine pose le problème capital des différents groupes sanguins et de leur compatibilité et de leur incompatibilité. Le sujet qui donne le sang est le donneur ; celui qui le reçoit : le récepteur.
Dans certains cas, le plasma du récepteur agglutine et dissout les globules rouges du donneur : il en résulte une obstruction des artérioles de petit diamètre, de la fièvre, des douleurs thoraciques, parfois un blocage de la fonction rénale et crise fatale d’urémie. Il s’ensuit que ce qui importe, c’est que les globules du donneur ne soient pas altérés par le plasma du récepteur.
Les globules rouges peuvent porter deux agglutinogènes, isolés ou réunis, A et B.

Le plasma peut deux agglutinines = anti A et anti B dirigés contre le ou les agglutinogènes. Les groupes sont désignés par la lettre attribuée à l’agglutinogène.
D’où le tableau :

Les groupes sanguins sont héréditaires ils sont transmis suivant les lois mendéliennes de l’hérédité.
Des complications interviennent :
- Dans les types A et AB, on distingue deux subdivisions A1 A2 A1B A2B
- On découvre ensuite les groupes : M N MN P P, ce qui porte les combinaisons connues à 36.
CONCLUSIONS.
- un récepteur peut recevoir le sang d’un donneur du même groupe : A par A, B par B
- le groupe AB peut recevoir le sang des quatre groupes : il est récepteur universel RU
- le groupe O peut donner son sang à tous les groupes : il est donneur universel DU

RHESUS.
Découvert en 1939-1940 et ainsi nommé parce qu’il est commun aux sangs de l’homme et du singe Macacus Rhésus. Il fut trouvé en injectant du sang de Macacus à un lapin qui produit alors le facteur anti-rhésus.
Cette découverte va révolutionner toutes les conceptions sur les groupes sanguins. Le facteur Rhésus est lui aussi porté par les hématies.
Pour la « race » blanche, l’humanité se divise en deux types :
Rhésus + (positif) 85% – Rh+
Rhésus -(négatif) 15% – rh–
Un individu Rh+ peut recevoir du sang Rh+ ou rh– ; il sera Rh+. S’il rh– il ne peut recevoir que du sang rh– ; si on lui donnait du Rh+ un facteur anti-rhésus se développerait entrainant des accidents.
Si un malade reçoit du sang Rh+ il se vaccine contre le facteur Rh. Si on lui transfuse à nouveau du sang Rh+ il reçoit un choc suivi d’ictère, d’urémie et même de mort.
Ce facteur explique la « maladie hémolytique familiale » du nouveau-né : jaunisse intense, pâleur de la peau et des muqueuses, somnolence ; présence dans son sang de globules rouges
L’incompatibilité sanguine entre la mère et l’enfant est la cause de l’accident. Le phénomène est conditionné par l’hérédité du facteur Rhésus ; lors des mariages, les unions peuvent réaliser la combinaisons (2 types de spermatozoïdes et d’ovules).

La combinaison matrimoniale la plus défavorable est père Rh+ mère rh–, car tous les enfants sont Rh+ rh– et peuvent être atteints puisque la mère peut produire un anti-rhésus qui, au travers du placenta, peut atteindre le fœtus, surtout s’il s’agit d’une grossesse, la concentration en anti-rhésus devenant plus forte.
- Dans cas 1 et 10, il ne peut y avoir d’incompatibilité entre la mère et le fœtus,
- Dans les cas 2, 3, 4, 5, 6, il ne peut y avoir d’incompatibilité puisque la mère possédant Rh+ ne peut s’immuniser contre lui.
- Cas 7 : cas le plus défavorable, la mère étant rh– et le fœtus Rh+.
- Cas 8 et 9 : 50% des enfants peuvent être atteints.
Le facteur Rhésus s’ajoute aux facteurs des 4 groupes sanguins principaux.
LE HLA (Human Leucocyte locus A)
Il s’agit d’un tissulaire qui joue un rôle capital en particulier dans les greffes d’organes.
On connaît actuellement une trentaine d’antigènes qui appartiennent à ce système : HLA1 HLA2 …
Le HLA est porté par la 6ème paire de chromosomes sur trois sites (= locus) A. B. C., d’où la nomenclature :
- A1 A2 …
- B1 B2 … B27 …
Le nombre de combinaisons possibles est de l’ordre du milliard ; chaque individu est donc caractérisé par son système HLA presque aussi que par ses empreintes digitales.
Sa détermination est ainsi d’une importance essentielle pour la tolérance des greffes.
En outre, on a reconnu l’association d’antigènes HLA à certaines maladies : c’est ainsi que l’antigène B27 est lié de façon étroite aux rhumatismes bien qu’il ne soit pas le seul responsable de la maladie.
Il est clair désormais qu’il n’y a pas au monde deux individus semblables sauf les jumeaux vrais issus du mème œuf.
QUELQUES TECHNIQUES, DANS LE DÉSORDRE.
- Le sang prélevé sur un donneur (300 à 400 cm3) est recueilli dans des flacons de verre et, mieux, dans des sacs de matière plastique. Un petit échantillon, pour les analyses, est accroché au flacon ou au sac.
Un tel flacon peut se conserver 21 jours.
- Le sang se décante naturellement.
En comprimant progressivement le sac plastique, on recueille séparément :
– le plasma,
– puis les plaquettes,
– puis les hématies.

– La séparation des est activée par la centrifugation ; surtout recueillir les plaquettes denses que le plasma.
– Le plasma est congelé à -80°C.
En le décongelant lentement, on peut recueillir les facteurs anti-hémolytiques qui restent au fond.
– Les fractionnements permettent d’obtenir séparément :
- les globules,
- le plasma,
- l’albumine,
- le facteur antihémolitique A et B,
- la prothrombine,
- les immunoglobulines {standard (tous les anticorps) ou spécifiques (rubéole)) (dans de petites ampoules),
- les immunodépresseurs, pour la tolérance des greffes,
- les gammaglobulines, etc.
La famille s’accroît sans arrêt.
- On fait des concentrés de globules blancs par centrifugation.
Un CENTRE DE TRANSFUSION SANGUINE se présente comme une entreprise hautement scientifique ;
à Versailles :
- du personnel : 105 personnes à temps complet, 48 vacataires
- en 1979 : 1582 équipes mobiles, collecte de 45561 flacons de sang.
- contrôle des stocks de sang, et élimination des pertes par péremption des flacons (21 jours)
- préparation de plasma : – à activité antitétanique élevée
- congelé riche en facteur antihémophilique VIII
- conservation de leucocytes vivants dans de l’azote liquide pour le HLA.
- concentrés plaquettaires,
- préparation de sérums-tests anti A – anti B – anti O
- service de globules tests,
- utilisation de la machine Groupamatic gérée par un ordinateur qui détecte en routine, en un temps record, chez les donneurs et les malades, certaines données, en 12 examens simultanés.
- détermination des groupes HLA des donneurs, des malades et épreuves de compatibilité.
- diagnostic des maladies des cellules sanguines t elles les leucémies.
- laboratoire des radio-isotopes :
- pour les globules Cr 51
- pour le plasma I 131
- incorporation du Fe 59, pour mesure de la quantité d’hémoglobine fabriquée par jour.
- unité de cytogénétique.
Recherche de la trisomie 21 (mongolisme) - un matériel considérable est nécessaire, par exemple :
- Groupamatic et son ordinateur,
- 2 congélateurs à -80°C,
- 8 centrifugeuses,
- 1 compteur Gamma,
- 10 microscopes,
- 1 spectrophotomètre,
etc.
Le centre possède enfin une section enseignement pour les étudiants en médecine et les médecins.
Découvrez + de 1100 textes des conférences du CDI sur le site du CDI de Garches
Vos commentaires et vos conseils contribuent à l’amélioration de nos parutions.
Vous disposez de l’espace « COMMENTAIRES » ci-dessous pour les exprimer.
Merci et à bientôt pour votre prochaine visite.



Laisser un commentaire