Thèmes : Géologie, Histoire, Sciences.
Conférence du mardi 27 novembre 1984.
Par Monsieur LAUBIER, haut-conseiller scientifique de l’IFREMER (Institut français pour l’exploitation de la mer, organisme résultant de la fusion du C.N.E.X.O. et de l’I.S.T.P.M. (Institut scientifique et technique des pêches maritimes), correspondant de l’Académie des sciences après avoir initié les recherches modernes françaises en écologie abyssale, a abordé l’étude des peuplements hydrothermaux.
La vie marine dans les grandes profondeurs
et les manifestations hydrothermales sous-marines
I. – HISTORIQUE de 1850 à 1976
C’est à un auteur anglais que l’on doit les premières investigations par plus de 200 m. de profondeur en mer.
Il effectua dans la mer Égée, une série de prélèvements avec des petites bennes mâchoires et s’aperçut que plus il descendait, moins il trouvait d’individus et d’espèces. Sans aller au-delà de 400 m. et en extrapolant la courbe de réduction du nombre d’individus et d’espèces, il proposa en 1850 l’hypothèse suivante au-delà de 500, 600 m, la mer est dépourvue de toute vie.
Vers 1860, l’administration française installa un câble télégraphique reliant l’Algérie à la Sardaigne. Il reposait à des profondeurs atteignant 1800 m. Deux ans après sa pose, il ne fonctionna plus. On le releva et on constata la présence sur le câble de mollusques et de coraux.
La vie subsiste donc à des profondeurs plus grandes qu’on ne le soupçonnait.
A la même époque, des « fossiles vivants » sont découverts. Ce sont des espèces vivantes, correspondant par leur morphologie, leur structure, leur évolution, à un groupe que l’on croyait éteint. Les premiers furent recueillis sur les côtes de Norvège.
Cette découverte justifiera une grande partie des recherches océanographiques à caractère biologique, menées jusqu’en 1950. Jusqu’à cette époque, de nouveaux exemples de fossiles vivants furent découverts (Bathynella, nautile, lingule).
L’exploration biologique des grands fonds océaniques débute donc réellement avec la circumnavigation du navire britannique H.M.S. Challenger qui, durant 4 ans (1872-1876), prospecta avec succès les profondeurs abyssales comprises entre 3500 et 5500 mètres environ et rapporta des collections zoologiques d’une extrême richesse. On s’aperçut à cette époque que la température de l’océan ne descendait pas au-delà d’une certaine valeur et qu’il existait même près du fond des inversions de température.
A la suite de cette expédition anglaise, comparable à celle du « Beagle » que Darwin rendit célèbre 50 ans avant, les principales nations industrielles, avec l’aide de leur marine militaire, se lancèrent dans l’exploration des profondeurs océaniques.
Le Prince Albert de Monaco pour la France effectua de 1890 à 1910 toutes sortes de recherches sur la faune profonde.
On doit à ses explorations le record de capture de poissons par 6000 m. de profondeur. On attendra 50 ans pour pêcher à une plus grande profondeur. On lui doit également la découverte du régime alimentaire du cachalot.
A travers ses pêches autour des Açores, il découvrit que ces animaux se nourrissaient de calmars géants qui peuvent atteindre 15 m. de long et qui vivent à des profondeurs d’environ 1000 m.
Le sondage acoustique est à son tour découvert en 1935.
Au début des années 1950, le navire danois Galathea tenta de répondre à l’une des grandes inconnues de l’océanographie biologique : la vie trouve-t-elle une limite, y a-t-il une profondeur au-delà de laquelle que les conditions physiques, notamment la pression, sont telles que la vie ne peut se développer ? L’opération de chalutage eut lieu dans la fosse des Mariannes. Elle dura 22 heures. Pour cette opération à 9800 m. de profondeur, un câble à diamètre dégressif (pour des problèmes de pression), de 14 km de long, fut déroulé.
En 1954, au large de Dakar, 2 marins descendirent à une profondeur de 4025 m ; ce fut la première plongée d’un « bathyscaphe ».
En 1962, les mêmes construisirent un nouveau bathyscaphe et allèrent jusqu’à 9500 m.
Le bathyscaphe est né dans l’esprit d’un savant suisse, Auguste Piccard, qui transposa sous la mer le principe du ballon libre atmosphérique (le gaz étant remplacé par de l’essence et le lest constitué de grenaille d’acier retenue par un électroaimant).
En 1962 « l’Archimède » fut construit par la marine nationale pour le compte du C.N.R.S.
o
o o
La photographie 1 montre les grandes dorsales océaniques. On voit l’importante dorsale au milieu de l’Atlantique. L’ensemble des chaînes de l’océan mondial représente près de 70000 km de longueur. Les altitudes par rapport aux plaines de part et d’autre des chaînes sous-marines sont de l’ordre de 3000 m.

Fig. 1. Carte des dorsales océaniques. C’est au niveau de ces grandes dorsales que
se produisent la plupart des phénomènes d’hydrothermalisme marin.
Monsieur Laubier nous a montré de nombreuses diapositives :
- des chaluts à cadre métallique que l’on utilise pour travailler par plus de 2000 à 3000 m de profondeur,
- des chaluts à perche en bois,
- une boîte pratiquement carrée qui s’enfonce dans l ‘eau, découpe une carotte de sédiments et la rapporte à la surface,
- des nasses pour la capture d’animaux carnivores,
- des engins pour photographier les fonds (troïca)
- de l’engin Cyana qui permet d’atteindre des profondeurs de 3000 m.
« Cyana » est propulsé par deux moteurs de 1,2 kw, l’énergie étant stockée dans une batterie au plomb, lui donnant un rayon d’action de 10 km avec une vitesse maximum de 2 nœuds. Un pilote, un copilote et un observateur réussissent à se glisser dans une sphère en acier spécial d’un diamètre intérieur de 1,96m, percée de 3 hublots pour des missions n’excédant pas en général la douzaine d’heures, mais avec une autonomie respiratoire d’un peu plus de 3 jours.
Un bras manipulateur rustique permet de récupérer les échantillons d’un poids maximum de 40 kg et toute une panoplie d’outillage permet d’effectuer des travaux au fond tandis que des capteurs enregistrent les paramètres physico-chimiques de l’eau de mer et que des caméras photographiques conservent le spectacle des grands fonds marins.
FILM.
1. – Les techniques.
L’observation des fonds océaniques qui nécessite un éventail extrêmement large d’équipements de haute technicité se développe rapidement.
Au cours des dernières années, les géologues en ont ressenti l’absolue nécessité en complément aux méthodes classiques d’investigation.
Pour une exploration filmée, d’objectif limité demandant le contact visuel direct avec le fond et la prise d’échantillons, le sous-marin est indispensable.
L’ensemble du système d’exploration, comprenant navire de surface, engins remorqués à faible distance du fond sous-marin, est caractérisé par la précision qui permet d’établir une topographie du fond, au mètre près.
Partie de cet ensemble complexe qui a pour fin d’identifier sous plusieurs milliers de mètres d’eau, des structures géologiques, des reliefs dont les dimensions vont du centimètre au kilomètre, d’effectuer des mesures physiques, le submersible permet de reclasser des éléments dans un cadre à 3 dimensions.
La navigation des submersibles bénéficie de l’innovation en matière de techniques acoustiques permettant des localisations de plus en plus fiables.
Hier, le bathyscaphe Archimède, aujourd’hui, les sous-marins Cyana et Alvin, mais demain le SM 97 (fig. 2), pouvant intervenir jusqu’à 6000 m., permettra aux géologues et aux biologistes de voir en couleur et en relief, de prélever dans des endroits bien localisés, etc.
2. – L’observation géologique.
En un million d’années, une nouvelle bande de croûte océanique de 20 à 80 km de large se forme. Ce phénomène se poursuit depuis au moins 200 millions d’années. L’étude des dorsales médio-océaniques est fondamentale pour comprendre comment se sont façonnés 60% de la surface du globe.

Fig. 2. Vue éclatée du sous-marin SM 97.
L’expédition « Famous » fut la première expédition franco-américaine. La zone d’étude choisie était une portion de la dorsale médio-atlantique, constituant une limite d’accrétion entre la plaque Afrique et la plaque Amérique qui s’écartent l’une de l’autre à la vitesse d’environ 2 cm par an (voir sur la région méditerranéenne, la séismicité).
La zone axiale de la dorsale est entaillée par une profonde vallée appelée « rift ». Les résultats d’ensemble de cette expédition ont permis d’accéder à la connaissance la plus complète à ce jour de la géologie d’une dorsale lente (1 à 5 cm par an alors que des dorsales rapides peuvent atteindre 17 cm par an) et de l’une de ses failles transformantes associée, perpendiculaire à l’axe de la vallée centrale.
Trois grandes catégories de phénomènes ont été étudiées :
- les processus volcaniques, responsables de la mise en place de la croûte océanique basaltique (voir conf. sur les volcans, déc. 1983),
- les processus tectoniques, c’est-à-dire les stades et les modalités de la déformation des roches engendrée par les mouvements différenciés engendrés entre plaques (voir conf. du 15 mars 1983),
- les processus géochimiques, qui mettent en évidence l’évolution du magma au cours de sa remontée vers le sol océanique.
C’est dans ce domaine que l’apport de l’expédition Famous fut le plus novateur.
Dans une faille transformante, perpendiculaire à l’axe de la vallée centrale caractérisée par une très grande densité de faille, et de cassures, « Cyana » a pu observer, cartographier et échantillonner des dépôts riches en fer, en manganèse associés à des argiles fraichement formés à proximité de bouches hydrothermales en forme de fissure. Au cours de plongées ultérieures, Cyana a pu revenir avec précision sur ces dépôts et prélever sur le sédiment des concrétions métalliques résultant de la formation d’un précipité chimique au moment où un fluide hydrothermal chaud se mélange à l’eau de mer. Une première mondiale était ainsi réalisée sous 2300 m. d’eau : celle de l’observation dans le domaine océanique profond de plusieurs gisements hydrothermaux, chacun couvrant d’un réseau de petites rides asymétriques une surface d’environ 600 m2.
Les mesures de température in situ n’enregistrant aucune anomalie indiquèrent que ces bouches n’étaient plus actives. Après cette découverte importante des équipes françaises pendant l’expédition Famous, il revient aux équipes américaines trois ans plus tard, au cours d’une campagne de plongée du submersible Alvin aux Iles Galapagos, de découvrir des sources chaudes s’échappant de bouches hydrothermales. Ces équipes ont pu en mesurer la température, et échantillonner des produits hydrothermaux.
A la fin de la campagne, tous les éléments permettant de montrer l’importance des anomalies thermiques et chimiques dans cette région étaient réunis.
3. – Les découvertes biologiques.
Ce que plusieurs années d’effort à partir de navires de surface ne permettraient pas de soupçonner était acquis en un mois de campagne de submersible. Les plongées de l’Alvin aux Galapagos allaient permettre aux biologistes de découvrir les premières associations vivantes réellement nouvelles sur les fonds océaniques depuis la campagne du Challenger en 1872-1876 : d’immenses vers dont les plus longs atteignent 2,60 m. sans bouche ni yeux, des grasses Galathées.
Des bivalves pouvant dépasser 30 cm. constituent une faune abondante par 2 400 m. de profondeur, fondée sur une chaîne alimentaire originale dont l’essentiel est probablement l’énergie liée à l’oxydation des composés soufrés apportés par l’hydrothermalisme.
Plongeant à l’axe de la dorsale des Galapagos sur des zones repérées d’après des photographies prises et des anomalies thermiques mesurées par l’engin remorqué, l’Alvin, comme Cyana, emporte un équipage de 3 personnes dans un habitacle exigu. En liaison constante avec son navire-support de surface lui permettant de connaître sa position sur le fond avec la plus grande précision possible, l’Alvin était guidé vers l’emplacement des sources par l’augmentation de l’activité biologique.
Le gigantisme des espèces observées, indépendantes de la chaîne alimentaire classique, fut expliqué par son association avec les jaillissements d’eau chaude, dont l’analyse confirma la richesse en hydrogène sulfureuse. La prolifération de bactéries autotrophes (organismes capables d’élaborer leurs aliments organiques à partir d’éléments minéraux) du soufre à partir de cet hydrogène sulfureux, apporte une nourriture extrêmement abondante. Chaque zone de venue d’eau chaude est ainsi un écosystème fermé, tirant son énergie de réactions chimiosynthétiques en absence totale de lumière. Le taux de croissance d’une bivalve prélevé dans l’un de ces écosystèmes est 500 fois plus rapide que celui de bivalves trouvés sur les fonds côtiers de l’Atlantique. L’Alvin découvrit 5 zones vivantes et un certain nombre de colonies mortes, les sources étant bouchées ou taries.
Les découvertes de la campagne des Galapagos, l’acquis de l’expédition Famous, la nécessité d’étudier les dorsales en extension rapide ont renforcé l’intérêt porté à la préparation du projet Rita (du nom des failles transformantes Rivera et Tamayo), pour l’exploration d’une partie de la dorsale du Pacifique, située par 21° de latitude nord, au large des côtes du Mexique.
Plus au Nord, la frontière de plaques est représentée par le système de failles de San Andréas qui traverse la Californie jusqu’à San Francisco et provoque des tremblements de terre périodiques. Pendant la préparation du projet Rita, un navire effectuait dans le cadre d’un projet international, des forages profonds dans les zones de Famous, Rita et auprès des Galapagos. Ces forages apportèrent la confirmation de la circulation de fluide dans la croûte océanique.
En 1978 les équipes françaises effectuèrent lors de la campagne Cyamex 21 plongées à bord du « Cyana » à des profondeurs de l’ordre de 2 600 à 2 700 m. Elles observèrent qu’à la différence des dorsales lentes, la vallée axiale du rift était soit une structure mineure, soit absente le long d’une dorsale rapide. Elles découvrirent pour la première fois des lacs de lave figée s’étendant sur plusieurs hectares, indice d’un écoulement rapide de lave très fluide.
Les coulées fluides estompent les reliefs.
Les lacs de lave tranchent sur le moutonnement des coussins qui les encaissent. Un drainage intervenu avant le refroidissement complet a presque toujours entraîné l’effondrement de la partie centrale laissant un champ de piliers verticaux résiduels pouvant atteindre de 10 à 15 m. de haut. Les plongées de Cyamex ont montré, par comparaison avec celles de Famous, l’importance de la création de croûte océanique à partir des dorsales rapides. Ces dorsales produisent des laves fluides probablement en raison de la proximité de réservoirs magmatiques permanents et de grande dimension.
Pour la première fois également, la largeur de la zone tectonique active à l’axe d’une dorsale a pu être déterminée par l’observation du terrain. Dans la zone Cyamex, cette largeur est de l’ordre de 24 km coïncidant vraisemblablement avec celle de la chambre magmatique que l’on suppose présente sous la dorsale. Les plongées de Cyamex ont permis de découvrir à l’axe de la dorsale dans la zone tectonique active sous 2 600 m. d’eau, des cimetières de coquilles de bivalves géants, observés pour la première fois aux Galapagos.
Elles ont découvert, en différents points et sur des distances de 3 à 4 km, des dépôts sulfurés polymétalliques massifs d’origine hydrothermale.
Ces dépôts se présentent sous forme de termitières de 1 à 8 m. de haut et de quelques mètres de diamètre.
Les échantillons prélevés, analysés ultérieurement en laboratoire, contiennent jusqu’à 29% de zinc, 6% de cuivre, de l’argent, ainsi que de l’or, du platine et du plomb. Ils présentent une analogie avec des minerais de sulfure métallique connus à terre (Chypre). De tels gisements correspondent à des fragments de croûte océanique incorporés au continent par la tectonique.
Des cheminées circulaires ont été observées au-dessus de ces édifices de sulfures métalliques.
L’hypothèse a été alors avancée, selon laquelle, l’eau de mer pénètre dans la jeune croûte océanique par les innombrables fissures, failles, fractures qui s’y développent et qu’elle s’y réchauffe jusqu’à plusieurs centaines de degrés.
Complétement dépourvue d’oxygène et sans doute fortement acide, elle devient alors capable de dissoudre des éléments métalliques présents à l’état de trace dans la croûte basaltique. Ces solutions hydrothermales saturées de métaux vont décharger ces éléments sur ou à proximité du plancher océanique. Une faible partie constitue les dépôts solides, le reste se diluant progressivement dans l’eau de mer. Les dorsales médio-océaniques ne seraient donc pas seulement des zones d’extension de la croûte océanique, mais aussi des lieux d’importants échanges géochimiques. Les plongées de l’Alvin sur la zone Cyamex allaient vérifier l’hypothèse par observation directe de sources hydrothermales en activité.
Travaillant sur des fonds explorés par « Cyana », les chercheurs de l’« Alvin » ont pu, sous une pression de 2 600 m d’eau, voir, filmer, photographier, mesurer ce que l’un d’eux allait appeler « la grande alchimie de la Terre ».
Au sommet d’édifices, des cheminées projettent à plusieurs mètres de hauteur des volutes tourbillonnantes d’eau chaude chargées de sulfures métalliques à des températures de l’ordre de 350°C. De telles températures n’avaient jamais encore mesurées sur les fonds océaniques. Ce mode hydrothermal d’émissions métalliques n’a pas de véritable homologue sur les continents. L’association des sulfures d’origine hydrothermale avec une vie animale importante pourront modifier les estimations des conditions extrêmes supportables pour la vie ainsi que les idées sur les phénomènes d’évolution, voire l’origine mème de la vie.
Aussi un programme d’exploration a-t-il été lancé dès 1981 afin de vérifier les hypothèses sur le fonctionnement des systèmes hydrothermaux à l’axe des dorsales rapides et ultra-rapides du Pacifique Est. Les vitesses d’écartement de ces dorsales vont d’environ 6 cm par an au nord jusqu’à 16 cm par an au sud. L’utilisation du sondeur Sea-beam, la mesure systématique de la teneur en manganèse, les prélèvements par dragage ou carottage, l’utilisation d’engins remorqués ont permis de vérifier en plusieurs points de la dorsale est-Pacifique, la généralité des processus de création des sulfures métalliques.
Une activité hydrothermale particulièrement vigoureuse a été mise en évidence dans les dorsales dont la vitesse d’ouverture dépasse 6 cm par an. Afin d’exploiter ces résultats et mettre à profit l’acquis sur les phénomènes hydrothermaux dans l’océan profond, un programme pluridisciplinaire à moyen terme peut être proposé, alliant la poursuite de l’effort de recherche aux nécessaires préoccupations d’inventaire des ressources minérales des océans. Il doit permettre une évaluation raisonnée des dépôts de sulfures métalliques et une première réflexion sur les technologies de leur récupération.
Un industriel allemand a organisé une campagne scientifique au long de la dorsale Est Pacifique. Les résultats des travaux poursuivis depuis 8 ans appellent maintenant le développement des efforts entrepris. Les recherches à venir peuvent être conduites par des équipes en fonction des moyens dont elles pourraient disposer dans un climat de bonne coopération internationale.
LES RECHERCHES ACTUELLES.
a. Les sites
La fin du film est un appel qui, à l’époque (fin 1979), était formulé à 2 ministres ; dès 1980, ces derniers ont pu faire les chercheurs d’un effort financier exceptionnel.
Deux sites ont été repérés :
- Les Galapagos,
- Depuis 21°N jusqu’à l’ile de Pâques par près de 20°S sur une distance de 2 400 milles marins.
Sur l’un des sites ainsi reconnus, par 13°N, la première campagne française organisée par les biologistes explore en mars 1982 avec Cyana une nouvelle zone où les peuplements animaux associés aux phénomènes hydrothermaux se révèlent particulièrement riches.
En 1984, les chercheurs viennent de retourner sur ce site. Ce qu’ils ont constaté entre 1982 et 1984 va dans le sens d’une grande variabilité temporelle du phénomène hydrothermal pris à l’échelle d’une source ou d’un groupe de sources.
Au cours de l’été 1983, une équipe canadienne étudie un nouveau type de peuplement hydrothermal associé à des émissions localisées sur un volcan situé à l’axe de la dorsale Juan de Fuca au large de la Colombie britannique, par 46°N et -1570 mètres de profondeur, à partir du Pisces IV.
Dans un environnement géologique différent, les biologistes américains effectuent quelques observations sur le bassin de Guaymas, dans le Golfe de Californie ; là, le socle basaltique est recouvert de près de 400 mètres de sédiments et le fond est revêtu d’une épaisse couche de bactéries filamenteuses du genre Beggiota ; les principales espèces d’invertébrés « hydrothermaux » sont également présentes.
b. – Genèse du peuplement
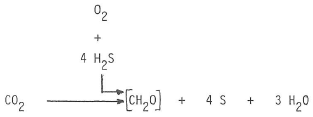
Au début des recherches, on avait pensé que les colonies animales pouvaient avoir comme origine la capture dans l’eau de mer des bactéries produites par l’intermédiaire de l’oxydation des sulfures. En effet, pour produire de la matière vivante, il faut une énergie. Pour les plantes vertes, l’énergie captée par la chlorophylle, est l’énergie lumineuse.
Des bactéries utilisent l’énergie chimique libérée par l’oxydation des sulfures. Dans le cas du H2S (hydrogène sulfuré), cela va donner un sulfate. Cette réaction dégage de l’énergie

Ces bactéries savent capter cette énergie et l’utiliser comme le font les plantes supérieures avec le gaz carbonique et l’eau ; elles savent construire des molécules organiques à partir du CO2 et de l’eau contenus dans l’eau de mer.
On pensait l’époque que ces bactéries appelées chimiosynthétiques, libres dans l’eau de mer en grande abondance autour des sources hydrothermales riches en H2S pouvaient être captées par les animaux.
Une seconde hypothèse fut également émise :
Les courants convectifs engendrés par le dégagement de chaleur des sources hydrothermales entraînent l’apparition de courants horizontaux au niveau du fond, qui eux-mêmes concentrent l’emplacement des émissions hydrothermales les particules nutritives déposées sur de vastes surfaces avoisinantes.
La vérité du jour se situe entre les deux hypothèses.
LES ILLUSTRATIONS.
La figure 3 représente un site composite reconstitué à partir des observations faites sur la dorsale du Pacifique oriental 13°N par le submersible français Cyana.
A côté des cheminées constituées de dépôts de sulfures polymétalliques qui projettent un panache d’eau surchauffée et noirâtre, il existe des sources plus diffuses, d’où sort un fluide blanchâtre à température intermédiaire (150 à 270°C) et de simples émissions d’eau tiède (15-40°C). Les diverses espèces animales sont réparties autour des sources en auréoles concentriques, en fonction de leur tolérance la température et aux caractéristiques chimiques des fluides. Les cheminées, qui peuvent atteindre 15 m. de hauteur sont fréquemment colonisées par le « ver de Pompéi » vivant à l’intérieur de tubes blanchâtres. De grands crabes, dénommés Cyanagraea, s’en nourrissent presque exclusivement. Les serpulidés, petits vers secrétant des tubes calcaires, sont particulièrement nombreux. A raison de plusieurs centaines par m3, ils forment de véritables ceintures d’une dizaine de mètres de large à la base des sources.
L’une des espèces les plus caractéristiques est certainement le grand ver pogonophore qui peut atteindre 2 m. de long. Baptisé Riftia, il se reconnaît à sa branchie terminale rougeâtre qui dépasse de son tube. Des crabes Bythograea thermydron et des poissons zoarcidés se nourrissent principalement aux dépens de Riftia. On trouve également de grands mollusques bivalves à la coquille blanche (calyptogena) ou jaunâtre. La richesse des faunes hydrothermales contraste violemment avec l’aspect désertique habituel de l’océan profond qui reprend ses droits à quelques dizaines de mètres seulement des sources. L’existence de cimetières de coquilles de bivalves et de tubes vides témoigne d’une ancienne activité hydrothermale dont la durée de vie, comme celle de la faune associée est relativement courte (Photo 4).
La photo 5 nous montre le peuplement particulièrement développé à proximité immédiate de la sortie de fluide hydrothermal.

Fig. 3.

Photo 4

Photo 5
Le schéma 6 résume le fonctionnement de l’association des bactéries et des Riftias.
En effet, comme cela a été dit précédemment, ce sont les bactéries qui par chimiosynthèse, élaborent la matière organique à partir des composés minéraux présents dans le fluide hydrothermal, fournissant ainsi l’énergie nécessaire à la survie des peuplements. Certaines de ces bactéries vivent en symbiose avec les Riftias qui ne possèdent pas de tube digestif et qui utilisent donc pour se nourrir les substances élaborées par les bactéries.
Le ver, dont la branchie baigne dans une eau résultant du mélange entre le fluide hydrothermal et l’eau de mer bien oxygénée, achemine par son système circulatoire vers les bactéries situées dans un tissu très irrigué, les composés minéraux nécessaires à la chimiosynthèse. Les substances organiques élaborées par les bactéries sont utilisées par le ver et les métabolites (nom donné aux substances organiques de faible poids moléculaire qui participent aux réactions du métabolisme) produits par le ver (C02 respiré, composés azotés) peuvent être réutilisés par les bactéries.

Schéma 6
CONCLUSION.
Une question demeure : comment ces écosystèmes vivants arrivent-ils à se maintenir ? 50 ans équivalent à 5 générations de moules, 10 générations du ver de Pompéi.
La durée de vie du milieu à celle équivalant à une génération animale qui le peuple. De plus ces animaux complètement inféodés à l’hydrothermalisme ne peuvent se trouver nulle part ailleurs. Comment saute-t-on d’une source à l’autre ?
L’exploration de nouveaux sites hydrothermaux dans les zones de formation de la croûte océanique constitue un objectif pour de futures campagnes, objectif auquel une découverte récente donne une importance particulière : il s’agit de l’observation faite par l’Alvin, en mars 1984 par 3 270 mètres au large de la Floride dans le golfe des Caraïbes, d’un peuplement de type hydrothermal comprenant notamment de grands vers pogonophores et de grands bivalves.
Le fluide hydrothermal n’a vraisemblablement pas grand-chose à voir avec le fluide plus ou moins dilué des fumeurs noirs du Pacifique oriental : il s’agit d’une solution sursalée et riche en ammoniaque dont l’écoulement produit des dépôts d’un sédiment riche en sulfure de fer. Aucune anomalie de température n’a été constatée. Cette découverte absolument fortuite confirme l’intérêt d’une exploration plus approfondie des zones dans lesquelles peut se manifester l’hydrothermalisme, indépendamment des zones typiques de formation de la croûte océanique, représentées par les dorsales océaniques à taux d’expansion élevé.
Pour les biologistes, en dehors des deux grandes questions la symbiose, la récupération de l’énergie chimique par un système bactérien, se pose une troisième question qui est celle de l’origine de la vie.
Découvrez + de 1100 textes des conférences du CDI sur le site du CDI de Garches
Vos commentaires et vos conseils contribuent à l’amélioration de nos parutions.
Vous disposez de l’espace « COMMENTAIRES » ci-dessous pour les exprimer.
Merci et à bientôt pour votre prochaine visite.

Laisser un commentaire