Thèmes : sciences, société.
Conférence du mardi 10 novembre 1981.
Monsieur OLMER, agrégé de physique et docteur ès sciences, professeur honoraire de l’université Paris VI, Président des ingénieurs scientifiques de France, ancien directeur de l’École des Mines de Nancy, de l’École supérieure d’électricité et du Laboratoire central des Industries électriques, a traité devant plus de soixante-dix personnes, avec beaucoup de clarté et de vigueur, le sujet : « quelques réflexions inhabituelles sur l’information scientifique et technique dans le monde d’aujourd’hui ».
A l’heure actuelle, l’information scientifique et technique est devenue un problème important que l’on maîtrise mal. Depuis la fin de la dernière guerre mondiale, ce problème a pris pour différentes raisons une ampleur de plus en plus considérable.
1. la connaissance scientifique s’acquiert à partir d’une connaissance antérieure qu’elle amplifie. A ce titre, elle a un mécanisme de croissance analogue à la croissance biologique, c’est-à-dire exponentielle (fig. 1).
Seulement, dans les mécanismes biologiques, la nature ne peut connaître de lois exponentielles indéfinies ; il existe des mécanismes qui freinent cette expansion (prédateurs, épidémies, pilule… et aussi, hélas ! les guerres). Par contre, dans le domaine scientifique, ce qui est acquis l’est définitivement. Tout le monde peut ainsi prendre connaissance de ce qui est acquis et faire progresser cet acquis.
Pour bien comprendre ce qu’est une croissance exponentielle, Monsieur OLMER a retracé dans un calendrier où le temps a été réduit au 1/40.000 les grandes étapes du développement scientifique et technique
- 1er janvier : Apparition de l »’Homo sapiens » (date arbitraire : 40.000 ans)
- 27 octobre : Début de l’âge du fer.
- 8 décembre : Ère chrétienne.
- 21 décembre : Invention du collier d’attelage.
- 30 décembre
- 4h14 : Machine à vapeur (Watt)
- 13h31 : Pile électrique (Volta)
- 19h55 : Chemin de fer St-Étienne – Roanne
- 31 décembre (dernière journée de l’année)
- 2h07 : L. Drake fore le 1er puits de pétrole à Titusville (en Pennsylvanie).
- 4h15 : Première dynamo de Gramme
- 7h08 : Lampe électrique d’Edison
- 12h24 : Théorie de la relativité (Einstein)
- 13h16 : Blériot traverse la Manche
- 14h22 : 1ère Guerre mondiale
- 19h51 : 2ème Guerre mondiale
- 20h30 : Hiroshima
- 23h40 : Gagarine effectue le 1er vol orbital.
Cette « explosion » de connaissances de la dernière journée est une caractéristique de la fonction exponentielle (fig. 1).

fig. 1. Courbe de la fonction exponentielle.
Dans une fonction exponentielle, la variable x est l’exposant de la base e ; y = ex
Dans les logarithmes népériens ou naturels la base e vaut 2,718 …
Monsieur OLMER prend comme exemple d’une croissance exponentielle, celle des feuilles de Nénuphar dont la surface des feuilles double pendant le même temps.
Elle conduit à une très grande spécialisation, ce qui amène des spécialistes de disciplines différentes à ne plus se comprendre entre eux.
2. il existe un phénomène d’accélération, c’est à dire un raccourcissement du temps entre l’invention, la découverte et son application ; en outre, des mutations réduisent à néant des domaines entiers de la connaissance ou des fabrications antérieures.
3. des différentes sciences et techniques interagissent les unes sur les autres d’une manière considérable.
On assiste à la naissance de sciences « carrefour » (informatique, microélectronique). Tout scientifique doit maintenant avoir une double démarche pour approfondir ses connaissances :
- verticale dans laquelle il approfondit son propre domaine,
- horizontale dans laquelle il prend connaissance de ce qui existe autour de lui.
4. l’information est devenue un problème social et politique.
Il y a encore 50 ans, la communauté des scientifiques et des ingénieurs pouvait vivre dans un univers séparé de celui du commun des mortels. La grande masse de la population n’était pas intéressée par leurs recherches.
De nos jours, nous vivons dans un univers technique, où tout le monde est concerné par les discussions de ces communautés et les progrès scientifiques et techniques.
De plus, étant donné que sciences et techniques sont facteurs de puissance d’un pays, de progrès social et économique, la politique s’en est emparé.
Malheureusement les politiciens ne sont pas forcément compétents dans ces domaines ; Raymond Aron a justement dit « la société moderne est une société de spécialistes gouvernée par des amateurs ».
5. on assiste à l’apparition d’effets pervers (pollution, insécurité, épuisement des ressources, peur atomique, …). Or souvent, les ingénieurs et scientifiques ne sont pas très habiles à faire connaître leurs travaux. « La grande muette actuellement, ce n’est plus le corps des officiers, c’est celui des ingénieurs, réduits au simple rôle de tâcherons et utilisés comme des garagistes quand on en a besoin » Louis Armand.
On peut en effet reprocher aux scientifiques de ne pas avoir un bon service de relations publiques et d’être mis en accusation par le biais des media qui ne s’intéressent bien souvent qu’au spectaculaire, à l’accidentel … à ce qui plait et non à ce qui instruit.
L’objet de la conférence a été de nous montrer quelques-uns des mécanismes par lesquels l’information peut circuler, ou quelles difficultés elle rencontre dans ce domaine.
Diagramme de la compétence (fig. 2).
En abscisses, sont représentés les divers domaines scientifiques et techniques, par exemple sur le schéma, l’électronique. En ordonnées sont indiqués les niveaux de compétence :
- T1, l’extrême frontière supérieure des connaissances actuelles (Prix Nobel).
- T0, niveau de base d’un public normal (extrêmement faible).
- T2, niveau qui représente la compétence que peut avoir un jeune diplômé dans sa discipline, ou les connaissances que doivent avoir les spécialistes dans une discipline qui n’est pas la leur.
Ces trois niveaux arbitraires séparent l’espace de la connaissance en deux zones :
- l’activité scientifique et technique où se développent des mécanismes de recherche et d’innovation.
- les utilisateurs, l’information, le « grand public » …

fig. 2.-Diagramme de compétence
Profils de compétence (fig. 3).
C’est la représentation du profil individuel. On retrouve en abscisses les domaines scientifiques et techniques et en ordonnées, les niveaux de compétence de l’individu envisagés dans les différents domaines.
Le niveau (0) est le profil individuel d’un homme qui sait tout sur tout, ce qui n’existe plus (Pascal …).
Le niveau (1) est le profil d’un spécialiste connaissant bien le « théorique » et certaines choses par ailleurs. On peut observer que dans certains domaines il retombe dans le niveau « grand public » entre TO et T2.
Le niveau (2) est le profil d’un spécialiste qui a de bonnes connaissances techniques ou technologiques mais qui, en physique fondamentale par exemple, n’est pas un spécialiste dépassant le niveau T2.
Le niveau (3) est le profil des « communs des mortels » avec des pointes dues à une formation permanente, un esprit bricoleur (les petits inventeurs se dans la zone de droite des domaines scientifiques et techniques).
Lors de cette conférence, Monsieur OLMER s’est attaché surtout à montrer comment l’information circule entre T et T. Vers T la circulation est de nature tout à fait différente car il s’agit de grande vulgarisation.

fig. 3.-Types de profils individuels de compétence.
Structures de l’information et de la formation (fig. 4).

fig. 4.-Structures de l’information et de la formation
En A se trouve l’Académie des sciences qui est une sorte de club élitiste qui rassemble les meilleurs spécialistes de l’ensemble des disciplines scientifiques, théoriques surtout. C’est une structure d’information horizontale de bonne qualité. Malheureusement les académiciens sont en petit nombre et les effets de cette information sur le reste du tableau sont quasi nuls.
En effet l’Académie des sciences publie « les comptes rendus de l’Académie des sciences » qui ne sont pas la lecture courante des ingénieurs scientifiques et en aucun cas celle du grand public, étant extrêmement denses et difficiles à comprendre ; seul l’auteur comprend bien son « papier ».
En B et C sont représentés des sociétés savantes telles la Société française de physique ou de chimie … et des associations professionnelles par exemple les ingénieurs de l’automobile, les ingénieurs soudeurs, … qui regroupent tous ceux qui sont intéressés par le développement de ladite science ou technique.
Ces sociétés sont le siège de réunions. Il s’ensuit des publications de revues qui transforment une information orale en information écrite stockable ; mais la science reste découpée « en rondelles ».
En D est représentée une formation initiale, scolaire ou universitaire. Ce n’est plus de l’information mais un mécanisme d’enseignement.
On s’aperçoit donc qu’en dehors de l’Académie des Sciences dont les retombées sur le reste du pays sont insignifiantes, ces schémas sont verticaux, ce qui signifie que l’on découpe la science en spécialités où chacun reste enfermé.
Au niveau du grand public, il existe quelques ouvrages de vulgarisation.
Cycle de l’information interdisciplinaire (fig. 5).

On se limite à l’intervalle [T1, T2] et l’on englobe un certain nombre de disciplines qui sont, par exemple, des mathématiques appliquées à la biologie.
Une réunion a lieu ; une information q1 est donnée au plus haut niveau par les spécialistes de la discipline. Des échanges interdisciplinaires se produisent. Au niveau T2 une certaine information q2 est recueillie.
Le niveau T1 est appelé isotherme « chaude » et le niveau T2, isotherme « froide » ; les niveaux étant assimilés à des températures. La chaleur allant de la source chaude à la source froide, la connaissance du fait de cette analogie va des sources chaudes (spécialistes) vers les sources froides (non spécialistes).
Le problème dans un cycle d’information interdisciplinaire est de donner aux spécialistes des autres disciplines, le minimum de connaissances pour qu’ils comprennent les grandes bases du raisonnement dans le domaine où ils ne sont pas spécialistes.
Le cycle de l’information interdisciplinaire (fig. 6).
(analogie thermique – voir annexe).

fig. 6.-Le cycle de l’information interdisciplinaire (analogie thermique)
Une société savante a pour objet de traiter une « sorte de fluide », qui est la connaissance scientifique, et faire en sorte qu’elle s’échange entre sources chaude et froide, c’est dire entre spécialistes et non spécialistes.
La source chaude donne une quantité d’informations q1 tandis que la source froide en reçoit une certaine quantité q2 (q2 < q1).
On peut dire que les échanges internes sont caractérisés par cette différence (q1 – q2).
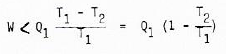
Une société savante produit un certain travail W de mise en forme des discussions, de façon à éditer une revue. Il faut effectuer un travail supplémentaire pour adapter dans un texte écrit les résultats d’une simple discussion (J). Ce travail est donc fonction de la quantité d’échanges qui s’est faite au cours de la réunion, et d’un certain travail supplémentaire effectué pour la rédaction.
d’où W = J (q1 – q2)
Transfert de l’information par cycle réversible (fig. 7).

fig. 7. Transfert de l’information par cycle réversible.
On ne peut avoir la meilleure transmission, le meilleur rendement en mettant brutalement en présence celui qui sait tout et celui qui ne sait rien.
Que se passe-t-il si l’on imagine une machine à transférer la connaissance dans laquelle on a un mécanisme parfait et réversible, c’est-à-dire que l’on divise l’espace en multiples sous-espaces dans lesquels de petits échanges se font entre un spécialiste et quelqu’un de niveau presque similaire ? … grâce à ces sous-ensembles, il devient possible d’orienter l’information.
Et bien la quantité d’information délivrée par le niveau supérieur et reçu par le niveau inférieur est indépendante du chemin parcouru.
On démontre alors que pour les cas parfaits :
(théorème de Claudius en thermodynamique).
Dans les cas imparfaits :

Exemple : si quelqu’un est deux fois plus compétent qu’une autre personne, dans les meilleurs des cas, la connaissance qu’il inculque à l’autre est la moitié de ce qu’il a donné (fig. 8). Il y a pertes.

Cette formule montre la difficulté de la vulgarisation qui exige que l’on paste dans le connu du lecteur.
Le rendement d’une machine à transférer l’information peut être défini corme le rapport entre la quantité d’information q1 – q2 et la quantité donnée au plus haut niveau :

Rendement maximum d’un cycle d’information idéal et réversible à niveau T1 donné (fig. 8).
Si l’on accepte toutes les hypothèses prises depuis le début c’est-à-dire une société idéale et parfaitement réversible, le rendement est donné par la formule :

La figure indique la courbe du rendement.
En abscisses le niveau de compétence varie de 0 à T1.
On voit que le rendement, c’est-à-dire l’efficacité de ce mécanisme à transférer l’information, est nul lorsque l’auditoire n’a aucune compétence, mais il est aussi nul si 2 Nobels de la même discipline discutent entre eux. Leur intérêt sera très grand, mais le rendement pour l’extérieur sera nul.
Ce rendement est maximum pour un niveau égal à T1/2.
Conclusion :
- l’information interdisciplinaire est indispensable.
- il faut essayer de la promouvoir.
- on ne peut pas expliquer tout à n’importe qui.
- il faut prévoir des échelons intermédiaires.
- il faut motiver les « récepteurs ».
Si les profils de compétence décrits plus haut arrivaient à nous libérer de l’habitude qui consiste sur un problème quelconque, à interroger et à prendre au mot une personne dont la spécialité n’est pas celle sur laquelle on le questionne, Monsieur OLMER pense que l’on aurait fait un grand pas. II faudrait que dans notre droit figure un article sur le « droit à l’incompétence ».
Monsieur OLMER ayant souvent utilisé un langage de physicien, ou plutôt de thermodynamicien (isotherme, cycle, cycle réversible, rendement …), il nous a paru utile de présenter aux lecteurs, en annexe, quelques données sur la thermodynamique.
ANNEXE
Quelques données de thermodynamique.
La thermodynamique, est l’étude des relations entre les phénomènes thermiques et les phénomènes mécaniques.
1. Principe de l’état initial et de l’état final :
S’il est possible de faire passer un système d’un état 1 à un état 2 par plusieurs transformations au cours desquelles il n’y a que les échanges de chaleur et de travail avec l’extérieur, chaque fois que l’on prélève une quantité de travail ΔW, il faut fournir une quantité de chaleur ΔQ telle que J ΔQ = ΔW. Il y a donc équivalence de la chaleur et du travail ; J = 4,185 joules est l’équivalent mécanique de la calorie.
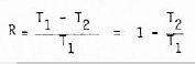
Un cycle est une transformation fermée ; l’état initial étant identique à l’état final, la variation d’énergie interne est nulle : JQ + W = 0. Si, au cours d’un cycle, un système reçoit de la chaleur (Q>0) il fournit du travail (W<0) et inversement. Il existe un rapport constant entre les valeurs absolues de W et de Q.
2. Principe de Carnot :
SI un système revient à son état initial après avoir échangé de la chaleur avec une seule source, il n’a pas pu fournir de travail au milieu extérieur.
Dans un moteur thermique, le fluide décrivant un cycle, doit donc évoluer entre une source chaude à la température T1 qui lui fournit la chaleur Q1 et une source froide à la température T2 à laquelle il restitue Q2. Le travail fourni est W = Q1 – Q2 si on évalue la chaleur en joules.
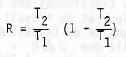
Le principe de Carnot interdit donc la transformation intégrale de la chaleur en travail : il faut en restituer une partie qui est perdue, à une source plus froide. Le rendement est le quotient :

Une machine idéale fonctionnerait sans frottements : le fluide utilisé n’échangerait de chaleur qu’avec des sources à la même température que lui. Le rendement de cette machine, dite réversible, est maximal : il est indépendant de la nature du fluide et ne dépend que des températures absolues des sources. Il a pour expression :

Une machine frigorifique est un moteur thermique, fonctionnant en sens inverse : on lui fournit du travail et il fait passer de la chaleur d’une source froide sur une source chaude (un réfrigérateur chauffe l’air extérieur) : c’est une thermopompe.
3. Dégradation de l’énergie :
Le travail peut se transformer intégralement en chaleur ; l’inverse n’est pas possible : on dit que l’énergie mécanique est plus « noble » que la chaleur. Dans les phénomènes réels, il y a des frottements et des chocs, d’où apparition de chaleur ; l’énergie se dégrade constamment. La chaleur elle-même se dégrade, puisque les températures des diverses parties d’un système tendent spontanément à s’égaliser ; le travail qu’il est possible d’obtenir à partir de ce système est de plus en plus petit :

Découvrez + de 1100 textes des conférences du CDI sur le site du CDI de Garches
Vos commentaires et vos conseils contribuent à l’amélioration de nos parutions.
Vous disposez de l’espace « COMMENTAIRES » ci-dessous pour les exprimer.
Merci et à bientôt pour votre prochaine visite.

Laisser un commentaire